2018년 공무원 봉급표 얼마?

2018년 공무원 봉급표 얼마?

2018년, 공무원 봉급표에 대한 궁금증을 가지고 계신 여러분들을 위해 이번 블로그 포스팅에서는 공무원 연봉과 인상율, 최저임금과의 비교, 부처별 봉급 차이 등에 대해 자세히 알아보도록 하겠습니다. 공무원의 봉급은 언제나 사회적으로 큰 관심사이며, 최저임금과의 상관관계로도 논란이 많습니다. 이 글을 통해 공무원 시험을 준비하는 분들 뿐만 아니라 누구나 공무원의 봉급에 대한 이해를 높이시기를 바라며 시작하겠습니다.

공무원 연봉 인상율 비교

2018년 공무원 봉급 인상율은 이전년도와 비교하여 많은 이슈를 불러일으켰습니다. 정부가 제출한 본 예산안에 따르면 국장급 이상은 2%, 국장급 이하는 2.6%의 월급 인상률이었습니다. 하지만 실제 인상은 모든 공무원 직급에 상관없이 약 2.7% 가량으로 결정되었습니다. 이는 2017년의 인상률인 3.5%에 비해 상당히 하락한 수치로, 겨우 0.8%의 차이지만 3.5%의 0.8%는 무려 22%의 포인트 차이를 보여주었습니다.

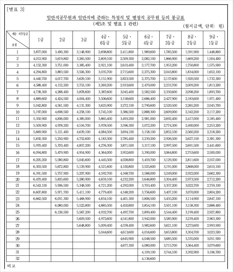
2018년 공무원 봉급표

최저임금과 공무원 연봉 비교

2018년 기준으로 최저임금은 7530원으로 전년 대비 16.4% 상승했습니다. 또한 2019년 최저임금은 10.9% 인상될 예정이었습니다. 이를 기준으로 주 40시간 근무와 주휴수당을 고려할 경우, 2017년의 월 최저급여는 157만 3770원이었습니다. 이에 비해 공무원의 9급 1호봉의 급여는 148만 원대로, 최저급여를 약간 밑도는 수준이지만, 공무원이면 누구나 받는 수당인 직급보조비가 더해지면 최저임금을 넘어설 수 있습니다.

부처별 공무원 봉급 차이

하지만 내년 임금 인상 때는 부처별로 봉급 차이가 더 골치 아프게 될 전망입니다. 정부가 국회에 제출한 2018년 예산안에 따르면 통일부의 9급 공무원 평균 봉급은 255만 1000원으로 전부처에서 1위를 차지하였으며, 국토교통부는 244만원, 국방부는 235만 8000원, 행정안전부는 233만 8000원 등으로 순위를 지켰습니다. 또한 해양수산부는 182만 6000원으로 가장 적은 금액을 기록하였습니다.

이러한 급여는 개개인의 수당을 평균한 것이므로 부처별로 차이가 발생할 수 있습니다. 같은 9급 공무원이라도 호봉에 따라 급여가 다르기 때문에 9급으로 통일해서 평균을 냈으니 9급 고호봉자가 많을수록 평균 급여가 높아보이기도 합니다. 또한, 공무원의 봉급 인상폭은 직급이 높을수록 금액 비중이 훨씬 더 커지는데, 이는 당연한 현상이며, 원래 급여가 크면 인상 금액도 상대적으로 커집니다.

마무리

2018년 공무원 봉급표를 살펴보았을 때, 최저임금과의 비교, 부처별 봉급 차이, 직급별 인상율 등이 큰 관심사였습니다. 최저임금과 공무원의 봉급은 사회적으로 중요한 이슈로 남아있으며, 인상율과 급여 차이에 따른 논란도 지속될 것으로 예상됩니다.

그러나 공무원의 봉급은 국가와 사회를 지탱하는 중요한 역할을 맡고 있으며, 안정적인 직종으로 평가받고 있습니다. 따라서, 봉급표 상의 숫자뿐만 아니라 이를 통해 나타나는 사회적인 의미와 가치를 함께 고려하여 공무원 시험을 준비하시기를 권장드립니다.

이로써 2018년 공무원봉급표와 관련된 정보를 살펴보았습니다. 이와 더불어 검찰, 경찰, 소방관, 군인, 연구직 공무원 등 다양한 직종들의 봉급표에 대한 관심이 있을 것으로 예상됩니다. 이제 각 직종의 봉급표에 대해 간단히 알아보도록 하겠습니다.

검찰, 경찰, 소방관, 군인 봉급표

  • 검찰과 경찰은 국가 안전과 법 집행에 핵심적인 역할을 맡고 있습니다. 이들의 봉급표는 공무원 중에서도 높은 수준으로 평가받으며, 안정적인 직종으로 인정받고 있습니다.
  • 소방관도 재난 대비와 소방 안전에 큰 역할을 맡고 있어 중요한 직종으로 평가되고 있습니다. 그러나 위험성이 높은 업무로 인해 상대적으로 높은 보상이 이루어지고 있습니다.
  • 군인들은 국가의 안보와 국방에 헌신하는 중요한 역할을 수행합니다. 이에 따라 군인의 봉급은 다른 공무원과는 다소 다른 형태로 구성되어 있습니다.

검찰 월급표
경찰월급표 소방관월급
공안직 공무원 봉급표

연구직 공무원 봉급표

  • 연구직 공무원들은 국가의 기술과 학문 발전을 위해 연구를 수행하는 직종으로, 고도의 전문성과 전문지식을 필요로 합니다. 따라서 이들의 봉급표도 다른 공무원과 다소 차이가 있을 수 있습니다.

연구직공무원 봉급표 및 국가정보원 전문관의 봉급표

일반직, 우정직, 군 공무원 봉급표

  • 일반직 공무원들은 행정 업무를 수행하는 직원들로서, 다양한 부처에서 다양한 역할을 맡고 있습니다.
  • 우정직 공무원들은 우체국과 관련된 업무를 수행하는 직종으로, 우체국과 우편 서비스에 기여합니다.

일반직 우정직군 공무원 봉급표 집배원 월급표

각 직종별 봉급표에 대한 자세한 정보는 공무원 시험 준비를 위해 공식적인 공고나 관련 기관의 공식 웹사이트를 참고하는 것이 좋습니다. 또한, 봉급표 상의 숫자뿐만 아니라 해당 직종의 특성과 사회적인 의미를 함께 고려하여 진로 선택에 큰 도움이 되기를 바랍니다.

이상으로 다양한 공무원 직종들의 봉급표에 대해 간략히 알아보았습니다. 각 직종별로 자세한 정보를 찾으시려면 공식적인 출처를 참고하시기 바랍니다. 공무원 시험을 준비하시는 분들에게 도움이 되었기를 바라며, 앞으로도 좋은 결과를 얻으시길 기원합니다. 감사합니다.

당시 정부가 제출한 본예산안에 따르면 공무원 월급 인상률은 국장급 이상은 2%, 국장급 이하는 2.6%였습니다만 실제 인상은 공무원 직급에 상관없이 2.7% 가량 인상됐습니다.

댓글 남기기