2019 교사 호봉표, 보수표, 급여표
서론
안녕하세요! 요즘 무더운 날씨에 다들 힘드시죠? 여름이면 더위가 불씨를 토해냅니다. 하지만 시원한 바다나 산 속으로 떠나는 여름 휴가 소식은 듣기 좋네요. 저 또한 이번 주말에 가족과 함께 캠핑을 떠날 예정입니다.
오늘은 공무원의 월급에 대해서 알아보고자 합니다. 특히, 교사들의 호봉표, 보수표, 그리고 급여표를 중심으로 살펴보겠습니다. 교사들은 우리 사회의 귀중한 교육의 현장에서 아이들의 미래를 책임지는 분들입니다. 따라서 그들의 보수가 어떻게 결정되는지 알아보는 것은 중요한 이슈입니다.

2019년 교사 호봉표
교사들의 월급은 호봉표를 기준으로 결정됩니다. 2019년 기준으로 초등학교 교사, 중학교 교사, 고등학교 교사, 그리고 유치원 교사로 호봉표는 같은 호봉이면 같습니다.


2019년 공무원 보수표
공무원들의 월급은 정해진 보수표를 기준으로 책정됩니다. 이 보수표는 대통령령으로 매년 개정되어 공무원의 봉급 인상을 반영합니다. 교사들도 공무원의 일종으로서, 이 보수표에 따라 월급이 결정됩니다.




교사의 월급과 군인의 월급 비교
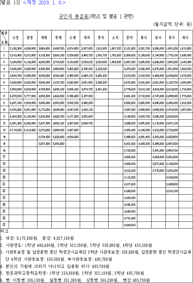
교사들의 월급을 알아보았으니 이제 군인들의 월급과 비교해 보겠습니다. 군인들의 월급은 계급에 따라 다르며, 대장과 중장급의 월급을 중심으로 비교해 보겠습니다.

- 군인 대장 월급: 817만 원
- 군인 중장 월급: 802만 원
군인 중장의 월급은 경찰 치안총감, 소방 총감과 동일하며, 국정원의 기획조정실장과도 같은 수준입니다. 따라서 교사들의 월급은 군인 중장과 비슷하거나 더 높을 수 있습니다.
결론
교사들의 보수표와 군인들의 월급을 비교해 보면, 교사들이 귀중한 교육의 현장에서 일하며, 아이들의 미래를 책임지는 만큼 높은 보상을 받아야 함을 알 수 있습니다. 교사들은 사회의 발전과 미래를 책임지는 중요한 직업이므로, 그들의 월급이 공정하게 책정되어야 할 것입니다.
이렇듯 교사들의 보수와 월급에 대해서 알아보았습니다. 앞으로도 우리 사회의 발전에 기여하는 모든 분들의 보상이 공정하게 이루어지기를 바라며, 끝으로 여러분들의 행복한 여름 휴가가 되기를 기원합니다.
참고 자료들은 2019년 기준으로 제공되었습니다. 최근 변동사항이 있을 수 있으니, 정확한 정보를 얻기 위해서는 해당 관련 기관의 공식 홈페이지를 확인해 주시기 바랍니다.